题目内容
学习了密度知识后,由小陶等同学组成的物理兴趣小组准备测量牛奶的密度.他们选取的实驵器材有:牛奶、量筒、天平(带砝码)、烧杯.【设计实验和进行实验】
方案A:
(1)用调节好的天平测量出空烧杯的质量m1;
(2)向烧杯中倒入一些牛奶,测出它们的总质量m2,则这些牛奶质量为______;
(3)再将烧杯中的牛奶倒入量筒中,测出牛奶的体积V1;
(4)计算出牛奶的密度ρ.
方案B:
(1)用调节好的天平测出装有适量牛奶的烧杯的总质量m3;
(2)将烧杯中的一部分牛奶倒入量筒中,记录量筒中牛奶的体积V2;
(3)测出烧杯及剩下牛奶的总质量m4;
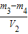
(4)计算出牛奶的密度ρ=______.(用m3、m4、V2表示)
【评估与交流】
通过分析交流上述两种方案后,你认为在方案______中,牛奶的______(选填“质量”或“体积”)测量误差较大,导致牛奶密度的测量值比真实值偏______(选填“大”或“小”).
【答案】分析:本题考查测液体密度的测量方法及测量中引进误差的分析.液体的体积可以直接用量筒测出,而质量要测两次,即杯的质量和杯加液的质量.为减小误差,所测质量和所测体积必须是同一部份液体.
解答:解:方案A如图所示:

这种方案m2-m1即为杯中液体的质量,将液体不值一倒入量筒中时,杯中仍残留一部分液体,即读体积时没包括这部分液体,导致体积读数偏小;
方案B如图所示:

这种方案m3-m4即为倒入量筒中液体的质量,V2也是量筒中液体的体积,与方案A相比可以减小误差.
故答案为:m2-m1;
;A;体积;大
点评:利用天平和量筒测密度时为减小误差:
(1)测液体密度时,先测杯和液体总质量,后测杯和残留液体质量.(不能先测空杯质量,后测杯和液体总质量.)
(2)测固体密度时,先测质量,后测体积.(先测体积会使固体带上水,使质量偏大.)
解答:解:方案A如图所示:
这种方案m2-m1即为杯中液体的质量,将液体不值一倒入量筒中时,杯中仍残留一部分液体,即读体积时没包括这部分液体,导致体积读数偏小;
方案B如图所示:
这种方案m3-m4即为倒入量筒中液体的质量,V2也是量筒中液体的体积,与方案A相比可以减小误差.
故答案为:m2-m1;
点评:利用天平和量筒测密度时为减小误差:
(1)测液体密度时,先测杯和液体总质量,后测杯和残留液体质量.(不能先测空杯质量,后测杯和液体总质量.)
(2)测固体密度时,先测质量,后测体积.(先测体积会使固体带上水,使质量偏大.)
练习册系列答案
相关题目