题目内容
标有“6V、3W”和“9V、3W”的灯泡L1和L2串联起来接到电源上,要求其中一只灯泡正常发光,求:(1)电源电压;
(2)电路消耗的总功率.
【答案】分析:(1)已知两灯的额定电压和额定功率可求电流和电阻,正常发光的那一只是电流小的,根据电流和总电阻计算电源电压.
(2)已知电源电压和电流可求总功率.
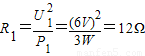
解答:解:(1)
,
,
,
,
0.5A>0.33A,所以此时电路电流为0.33A.
电源电压U=IR=I×(R1+R2)=0.33A×(12+27)Ω=13V.
答:电源电压为13V.
(2)电路消耗的总功率P=UI=13V×0.33A=4.3W.
答:电路消耗的总功率4.3W.
点评:本题考查已知额定电压和额定功率求电流和电阻,还有串联电路的功率,以及电功率的计算.
(2)已知电源电压和电流可求总功率.
解答:解:(1)
0.5A>0.33A,所以此时电路电流为0.33A.
电源电压U=IR=I×(R1+R2)=0.33A×(12+27)Ω=13V.
答:电源电压为13V.
(2)电路消耗的总功率P=UI=13V×0.33A=4.3W.
答:电路消耗的总功率4.3W.
点评:本题考查已知额定电压和额定功率求电流和电阻,还有串联电路的功率,以及电功率的计算.
练习册系列答案
相关题目