如图1,在锐角△ABC中,∠ABC=45°,高线AD、BE相交于点F.

(1)判断BF与AC的数量关系并说明理由;

(2)如图2,将△ACD沿线段AD对折,点C落在BD上的点M,AM与BE相交于点N,当DE∥AM时,判断NE与AC的数量关系并说明理由.

【答案】(1)BF=AC,理由见解析;(2)NE=AC,理由见解析.

【解析】试题分析:(1)如图1,证明△ADC≌△BDF(AAS),可得BF=AC;
(2)如图2,由折叠得:MD=DC,先根据三角形中位线的推论可得:AE=EC,由线段垂直平分线的性质得:AB=BC,则∠ABE=∠CBE,结合(1)得:△BDF≌△ADM,则∠DBF=∠MAD,最后证明∠ANE=∠NAE=45°,得AE=EN,所以EN=AC.

试题解析:

(1)BF=AC,理由是:

如图1,∵AD⊥BC,BE⊥AC,

∴∠ADB=∠AEF=90°,

∵∠ABC=45°,

∴△ABD是等腰直角三角形,

∴AD=BD,

∵∠AFE=∠BFD,

∴∠DAC=∠EBC,

在△ADC和△BDF中,

∴△ADC≌△BDF(AAS),

∴BF=AC;

(2)NE=AC,理由是:

如图2,由折叠得:MD=DC,

∵DE∥AM,

∴AE=EC,

∵BE⊥AC,

∴AB=BC,

∴∠ABE=∠CBE,

由(1)得:△ADC≌△BDF,

∵△ADC≌△ADM,

∴△BDF≌△ADM,

∴∠DBF=∠MAD,

∵∠DBA=∠BAD=45°,

∴∠DBA﹣∠DBF=∠BAD﹣∠MAD,

即∠ABE=∠BAN,

∵∠ANE=∠ABE+∠BAN=2∠ABE,

∠NAE=2∠NAD=2∠CBE,

∴∠ANE=∠NAE=45°,

∴AE=EN,

∴EN=AC.

【题型】解答题
【结束】
17

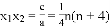
已知x1,x2是方程2x2﹣2nx+n(n+4)=0的两根,且(x1﹣1)(x2﹣1)﹣1=,求n的值.

抚顺某中学为了解八年级学生的体能状况,从八年级学生中随机抽取部分学生进行体能测试,测试结果分为A,B,C,D四个等级.请根据两幅统计图中的信息回答下列问题:

(1)本次抽样调查共抽取了多少名学生?

(2)求测试结果为C等级的学生数,并补全条形图;

(3)若该中学八年级共有700名学生,请你估计该中学八年级学生中体能测试结果为D等级的学生有多少名?

(4)若从体能为A等级的2名男生2名女生中随机的抽取2名学生,做为该校培养运动员的重点对象,请用列表法或画树状图的方法求所抽取的两人恰好都是男生的概率.

【答案】(1)50;(2)16;(3)56(4)见解析

【解析】试题分析:

(1)根据统计图中的信息可知,获得A等的有10人,占抽查总数的20%,由此即可计算出抽查学生的总数;

(2)由(1)中计算结果结合统计图中已知的A、B、D三个等级的人数即可求得C等级的人数,并由此补全条形统计图;

(3)由(1)中求得的被抽查学生的总数及获得D等级的有4人可计算出获得D等级的人数所占的百分比,即可求得800人中可能获得D等级的人数;

(4)设两名男生为A1、A2,两名女生为B1、B2,画出树形图分析即可求得所求概率;

试题解析:

(1)10÷20%=50(名)

答:本次抽样调查共抽取了50名学生.

(2)50-10-20-4=16(名)

答:测试结果为C等级的学生有16名.

图形统计图补充完整如下图所示:

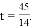
(3)700×=56(名)

答:估计该中学八年级学生中体能测试结果为D等级的学生有56名.

(4)画树状图法:设体能为A等级的两名男生分别为,体能为A等级的两名女生分别为,,画树状图如下:

由树状图可知,共有12 种结果,每种结果出现的可能性相同,而抽取的两人都是男生的结果有两种:(),(,), ∴P(抽取的两人是男生)=.

【题型】解答题
【结束】
20

如图,在平面直角坐标系xOy中,直线AB与x轴交于点A,与y轴交于点B,且OA=3,AB=5.点P从点O出发沿OA以每秒1个单位长的速度向点A匀速运动,到达点A后立刻以原来的速度沿AO返回;点Q从点A出发沿AB以每秒1个单位长的速度向点B匀速运动.伴随着P、Q的运动,DE保持垂直平分PQ,且交PQ于点D,交折线QB﹣BO﹣OP于点E.点P、Q同时出发,当点Q到达点B时停止运动,点P也随之停止.设点P、Q运动的时间是t秒(t>0).

(1)求直线AB的解析式;

(2)在点P从O向A运动的过程中,求△APQ的面积S与t之间的函数关系式(不必写出t的取值范围);

(3)在点E从B向O运动的过程中,完成下面问题:

①四边形QBED能否成为直角梯形?若能,请求出t的值;若不能,请说明理由;

②当DE经过点O时,请你直接写出t的值.

如图,在平面直角坐标系xOy中,直线AB与x轴交于点A,与y轴交于点B,且OA=3,AB=5.点P从点O出发沿OA以每秒1个单位长的速度向点A匀速运动,到达点A后立刻以原来的速度沿AO返回;点Q从点A出发沿AB以每秒1个单位长的速度向点B匀速运动.伴随着P、Q的运动,DE保持垂直平分PQ,且交PQ于点D,交折线QB﹣BO﹣OP于点E.点P、Q同时出发,当点Q到达点B时停止运动,点P也随之停止.设点P、Q运动的时间是t秒(t>0).

(1)求直线AB的解析式;

(2)在点P从O向A运动的过程中,求△APQ的面积S与t之间的函数关系式(不必写出t的取值范围);

(3)在点E从B向O运动的过程中,完成下面问题:

①四边形QBED能否成为直角梯形?若能,请求出t的值;若不能,请说明理由;

②当DE经过点O时,请你直接写出t的值.

【答案】(1)直线AB的解析式为;(2)S=﹣t2+t;

(3)四边形QBED能成为直角梯形.①t=;②当DE经过点O时,t=

【解析】分析:(1)首先由在Rt△AOB中,OA=3,AB=5,求得OB的值,然后利用待定系数法即可求得一次函数的解析式;
(2)过点Q作QF⊥AO于点F.由△AQF∽△ABO,根据相似三角形的对应边成比例,借助于方程即可求得QF的长,然后即可求得的面积S与t之间的函数关系式;
(3)①分别从DE∥QB与PQ∥BO去分析,借助于相似三角形的性质,即可求得t的值;
②根据题意可知即时,则列方程即可求得t的值.

详【解析】
(1)在Rt△AOB中,OA=3,AB=5,由勾股定理得

∴A(3,0),B(0,4).

设直线AB的解析式为y=kx+b.

.解得

∴直线AB的解析式为

(2)如图1,过点Q作QF⊥AO于点F.

∵AQ=OP=t,∴AP=3?t.

由△AQF∽△ABO,得

(3)四边形QBED能成为直角梯形,

①如图2,当DE∥QB时,

∵DE⊥PQ,

∴PQ⊥QB,四边形QBED是直角梯形.

此时

由△APQ∽△ABO,得

解得

如图3,当PQ∥BO时,

∵DE⊥PQ,

∴DE⊥BO,四边形QBED是直角梯形.

此时

由△AQP∽△ABO,得

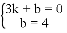
3t=5(3?t),

3t=15?5t,

8t=15,

解得

(当P从A向0运动的过程中还有两个,但不合题意舍去).

②当DE经过点O时,

∵DE垂直平分PQ,

∴EP=EQ=t,

由于P与Q相同的时间和速度,

∴AQ=EQ=EP=t,

∴∠AEQ=∠EAQ,

∴∠BEQ=∠EBQ,

∴BQ=EQ,

 所以

当P从A向O运动时,

过点Q作QF⊥OB于F,

EP=6?t,

即EQ=EP=6?t,

AQ=t,BQ=5?t,

解得:

∴当DE经过点O时, .

点睛:本题考查知识点较多,勾股定理,待定系数法求一次函数解析式,相似三角形的判定与性质等知识点,熟练掌握和运用各个知识点是解题的关键.

【题型】解答题
【结束】
21

如图,反比例函数y=(m≠0)与一次函数y=kx+b(k≠0)的图象相交于A、B两点,点A的坐标为(-6,2),点B的坐标为(3,n).求反比例函数和一次函数的解析式.

 0  325881  325889  325895  325899  325905  325907  325911  325917  325919  325925  325931  325935  325937  325941  325947  325949  325955  325959  325961  325965  325967  325971  325973  325975  325976  325977  325979  325980  325981  325983  325985  325989  325991  325995  325997  326001  326007  326009  326015  326019  326021  326025  326031  326037  326039  326045  326049  326051  326057  326061  326067  326075  366461 

违法和不良信息举报电话:027-86699610 举报邮箱:58377363@163.com

精英家教网