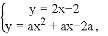
已知,抛物线y=ax2+ax+b(a≠0)与直线y=2x+m有一个公共点M(1,0),且a<b.

(1)求b与a的关系式和抛物线的顶点D坐标(用a的代数式表示);

(2)直线与抛物线的另外一个交点记为N,求△DMN的面积与a的关系式;

(3)a=﹣1时,直线y=﹣2x与抛物线在第二象限交于点G,点G、H关于原点对称,现将线段GH沿y轴向上平移t个单位(t>0),若线段GH与抛物线有两个不同的公共点,试求t的取值范围.

【答案】(1)b=﹣2a,顶点D的坐标为(﹣,﹣);(2);(3) 2≤t<

【解析】试题分析:(1)把M点坐标代入抛物线解析式可得到b与a的关系,可用a表示出抛物线解析式,化为顶点式可求得其顶点D的坐标;
(2)把点代入直线解析式可先求得m的值,联立直线与抛物线解析式,消去y,可得到关于x的一元二次方程,可求得另一交点N的坐标,根据a<b,判断a<0,确定D、M、N的位置,画图1,根据面积和可得的面积即可;
(3)先根据a的值确定抛物线的解析式,画出图2,先联立方程组可求得当GH与抛物线只有一个公共点时,t的值,再确定当线段一个端点在抛物线上时,t的值,可得:线段GH与抛物线有两个不同的公共点时t的取值范围.

试题解析:(1)∵抛物线有一个公共点M(1,0),

∴a+a+b=0,即b=?2a,

∴抛物线顶点D的坐标为

(2)∵直线y=2x+m经过点M(1,0),

∴0=2×1+m,解得m=?2,

∴y=2x?2,

∴(x?1)(ax+2a?2)=0,

解得x=1或

∴N点坐标为

∵a<b,即a<?2a,

∴a<0,

如图1,设抛物线对称轴交直线于点E,

∵抛物线对称轴为

设△DMN的面积为S,

(3)当a=?1时,

抛物线的解析式为:

解得:

∴G(?1,2),

∵点G、H关于原点对称,

∴H(1,?2),

设直线GH平移后的解析式为:y=?2x+t,

?x2?x+2=?2x+t,

x2?x?2+t=0,

△=1?4(t?2)=0,

当点H平移后落在抛物线上时,坐标为(1,0),

把(1,0)代入y=?2x+t,

t=2,

∴当线段GH与抛物线有两个不同的公共点,t的取值范围是

【题型】解答题
【结束】
24

在△ABC中,AB=AC,点D是直线BC上的一点(不与B,C重合),以AD为一边在AD的右侧作△ADE,使AD=AE,∠DAE=∠BAC,连接CE,设∠BAC=α,∠BCE=β.

(1)如图①,当点D在线段BC上,如果α=60°,β=120°;

如图②,当点D在线段BC上,如果α=90°,β=90°

如图③,当点D在线段BC上,如果α,β之间有什么样的关系?请直接写出.

(2)如图④,当点D在射线BC上,(1)中结论是否成立?请说明理由.

(3)如图⑤,当点D在射线CB上,且在线段BC外,(1)中结论是否成立?若不成立,请直接写出你认为正确的结论.

 0  325842  325850  325856  325860  325866  325868  325872  325878  325880  325886  325892  325896  325898  325902  325908  325910  325916  325920  325922  325926  325928  325932  325934  325936  325937  325938  325940  325941  325942  325944  325946  325950  325952  325956  325958  325962  325968  325970  325976  325980  325982  325986  325992  325998  326000  326006  326010  326012  326018  326022  326028  326036  366461 

违法和不良信息举报电话:027-86699610 举报邮箱:58377363@163.com

精英家教网