题目内容

如图,某大学A与公路l的距离AB为3千米,又与这条公路上某车站D的距离为5千米,现在要在公路l上建一商店C,使它与大学A和车站D的距离相等,请用尺规画出商店C的位置(不写作法,保留作图痕迹),并计算商店C与车站D的距离。
解:作出线段AD的垂直平分线,并设该直线与BD的交点为C,连结AC 
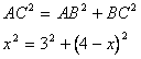
        设CD=x,则AC=x
        在Rt△ABD中,由勾股定理得: 
      
       在Rt△ABC中,由勾股定理得: 
      
       解之得:
答:商店C与车站D的距离为3.125米。
练习册系列答案
相关题目

违法和不良信息举报电话:027-86699610 举报邮箱:58377363@163.com

精英家教网