题目内容
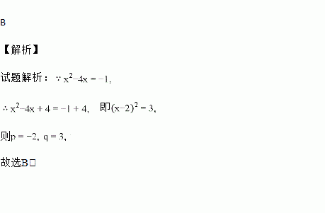
把一元二次方程x2﹣4x+1=0,配成(x+p)2=q的形式,则p、q的值是( )
A. p=﹣2,q=5 B. p=﹣2,q=3 C. p=2,q=5 D. p=2,q=3
如图,在□ABCD中,∠B=110°,延长AD至点F,延长CD至点E,连结EF,则∠E+∠F=( )
A. 110° B. 30° C. 50° D. 70°
现有八个大小相同的矩形,可拼成如图1、2所示的图形,在拼图2时,中间留下了一个边长为2的小正方形,则每个小矩形的面积是_____.
配方法解方程.
(1)x2+4x=﹣3;
(2)2x2+x=0.
若(x-1)2=4则x=_____________.
一元二次方程x2﹣2=0的根是( )
A. x=或x=﹣ B. x=2或x=﹣2 C. x=﹣2 D. x=2
(题文)如图,在Rt△ABC中,∠BAC=90°,AB=AC,分别过点B,C作过点A的直线的垂线BD,CE,若BD=4cm,CE=3cm,则DE=________cm .
计算:-sin60°(1-sin30°).
如图,在△ABC中,D是AB的中点,若AC=12,BC=5,CD=6.5.求证:△ABC是直角三角形.