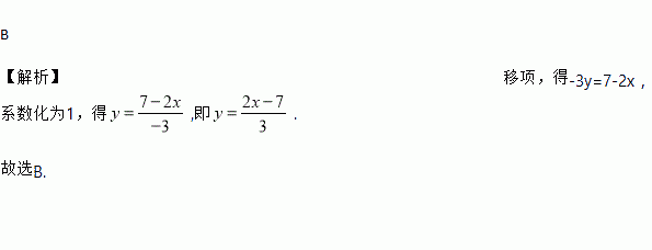
题目内容
方程2x-3y=7用含x的代数式表示y为( )
A. B. C. D.
不等式组的解集是( )
A. x<3 B. 3<x<4 C. x<4 D. 无解
计算:|-1|-=___________.
对于有理数x、y定义新运算x☆y=ax+by-1,其中a、b是常数,已知1☆2=8,(-3)☆3=-1,则4☆(-5)=___________。
如图,把一个长方形纸片沿EF折叠后,点D、C分别落在D′、C′的位置,若∠EFB=60°,则∠AED′= ( )
A. 50° B. 55° C. 60° D. 65°
在数,π, ,0.3333…, 中,其中无理数有( )
A. 1个 B. 2个 C. 3个 D. 4个
计算下列各式:
(1) (2)
下列方程是一元二次方程的有( )
A. x(2x+1)=2x(x﹣3)﹣2 B. x2+y=3 C. ax2+bx+c=0 D. x2=0
如下图,将△ABC绕点C逆时针旋转50°得到△A'B'C,则∠B'CB的大小为________°.