题目内容
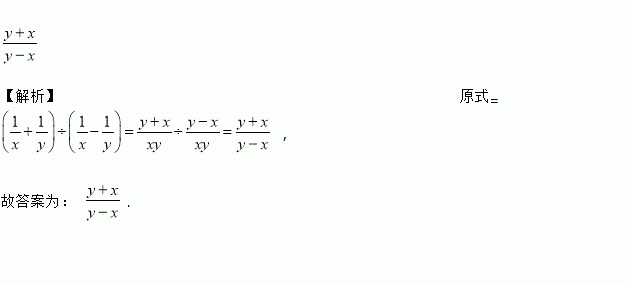
计算: _______________
如图,平分,那么等于______.
如图,用数学的眼光欣赏这个蝴蝶图案,它的一种数学美体现在蝴蝶图案的:
A.轴对称性 B.中心对称性 C.简洁性 D.数形结合
如图,AC与BD相交于点O,若OA=OD,用“SAS”证明△AOB≌△DOC,还需条件( )
A. AB=DC B. OB=OC C. ∠A=∠D D. ∠AOB=∠DOC
因式分【解析】
分式与 的最简公分母是________________
计算 =______________
已知函数是正比例函数,且随的增大而增大,那么的取值范围是( ).
A. B. C. D.
把一些图书分给某些学生阅读,如果每人分3本,则剩余20本;如果每人分5本,则还缺26本,这些学生有多少名?