题目内容
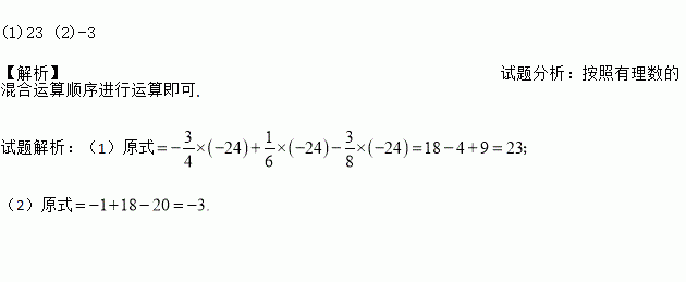
计算:
(1)(﹣+﹣)×(﹣24);
(2)﹣14+2×(﹣3)2﹣5÷×2
下列计算结果错误的是( )
A. (ab)7÷(ab)3=(ab)4 B. (x2 )3÷(x3 )2=x
C. (﹣ m)4÷(﹣ m)2=(﹣ m)2 D. (5a)6÷(﹣5a)4=25a2
计算题:
(1)﹣8+12﹣16﹣23;
(2)2×(﹣5)+23÷;
(3)32×(﹣)3﹣0.52×(﹣2)3;
(4)﹣14﹣(2﹣0.5)××[(﹣)2﹣()3].
一个数在数轴上所对应的点向左平移6个单位后,得到它的相反数的点,则这个数为( )
A. 3 B. ﹣3 C. 6 D. ﹣6
汽车从甲地到乙地,若每小时行驶45km,则要比原计划延误半小时到达;若每小时行驶50km,则可以比原计划提前半小时到达.求甲、乙两地的路程及原计划的时间.
若如图的平面展开图折叠成正方体后,相对面上两个数都互为相反数,则a+b=______..
下列说法中正确的是( )
A. 过一点有且仅有一条直线与已知直线平行
B. 若AC=BC,则点C是线段AB的中点
C. 相等的角是对顶角
D. 两点之间的所有连线中,线段最短
如图,在3×3的正方形网格中,网格线的交点称为格点.已知点A,B在格点上,如果点C也在格点上,且使得△ABC为等腰直角三角形,则符合条件的点C有________个.
如图①,已知AD∥BC,∠B=∠D=120°.
(1)若点E、F在线段CD上,且满足AC平分∠BAE,AF平分∠DAE,如图②,求∠FAC的度数.
(2)若点E在直线CD上,且满足∠EAC=∠BAC,求∠ACD:∠AED的值(请自己画出正确图形,并解答).