题目内容
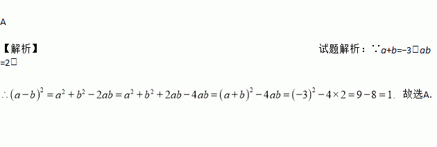
已知a+b=3,ab=2,则的值是( )
A. 1 B. 4 C. 16 D. 9
如图,小强在河的一边,要测河面的一只船B与对岸码头A的距离,他的做法如下:
①在岸边确定一点C,使C与A,B在同一直线上;
②在AC的垂直方向画线段CD,取其中点O;
③画DF⊥CD使F、O、A在同一直线上;
④在线段DF上找一点E,使E与O、B共线.
他说测出线段EF的长就是船B与码头A的距离.他这样做有道理吗?为什么?
如图,一艘客轮在太平洋中航行,所在位置是A(140°,20°),10小时后到达B地,用坐标表示B地的位置是 .
计算:20152-2×2015×2014+20142=__.
若用简便方法计算,应当用下列哪个式子( ).
A. B.
C. D.
若点P(x,y)在第一象限内,且点P到两坐标轴的距离相等,并满足2x-y=4,则.
方程组的解是( )
A. B. C. D.
根据图示填空:
(1)sinB=CD/(___________)=(___________)/AB
(2)cos∠ACD=CD/(___________)
探究活动:
()如图①,可以求出阴影部分的面积是__________.(写成两数平方差的形式)
()如图②,若将阴影部分裁剪下来,重新拼成一个长方形,面积是__________.(写成多项式乘法的形式)
()比较图①、图②阴影部分的面积,可以得到公式__________.
知识应用,运用你所得到的公式解决以下问题:
()计算: .
()若, ,求的值.