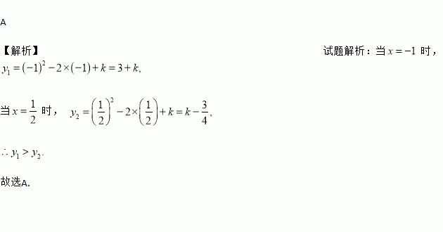
题目内容
若二次函数的图像经过点(-1, ),(, ),则与的大小关系为( )
A. > B. = C. < D. 不能确定
下列说法正确的是( )
A. 求sin30°的按键顺序是 、30、=
B. 求23的按键顺序 、2、 、3、=
C. 求的按键顺序是、 、8、=
D. 已知sinA=0.5018,用计算器求锐角A的大小,按键顺序是、、0.5018、=
如图,在△ABC中,DE∥BC,AD=6,DB=3,AE=4,则EC的长为( )
A. 1 B. 2 C. 3 D. 4
如图,四边形为菱形,点在以点为圆心的上,若cm, ,
则的长为_______.
如图,PA、PB切⊙O于A、B两点,CD切⊙O于点E,交PA,PB于C、D,若⊙O的半径为r,△PCD的周长等于3r,则tan∠APB的值是( )
A. B. C. D.
如图,在平面直角坐标系xOy中,直线y=x+2与x轴交于点A,与y轴交于点C.抛物线y=ax2+bx+c的对称轴是直线x=-,且经过A,C两点,与x轴的另一交点为点B.
(1)①直接写出点B的坐标;②求抛物线的解析式.
(2)抛物线上是否存在点M,过点M作MN垂直x轴于点N,使得以点A,M,N为顶点的三角形与△ABC相似?若存在,求出点M的坐标;若不存在,请说明理由.
如图,已知点A1,A2,…,An均在直线y=x-1上,点B1,B2,…,Bn均在双曲线y=-上,并且满足A1B1⊥x轴,B1A2⊥y轴,A2B2⊥x轴,B2A3⊥y轴,…,AnBn⊥x轴,BnAn+1⊥y轴,…,记点An的横坐标为an(n为正整数).若a1=-1,则a2018=___.
下列各点中,在函数y=-图象上的是( )
A.(﹣2,4) B.(2,4) C.(﹣2,﹣4) D.(8,1)
(10分)在一条笔直的公路旁依次有A、B、C三个村庄,甲、乙两人同时分别从A、B两村出发,甲骑摩托车,乙骑电动车沿公路匀速驶向C村,最终到达C村.设甲、乙两人到C村的距离y1,y2(km)与行驶时间x(h)之间的函数关系如图所示,请回答下列问题:
(1)A、C两村间的距离为________km,a=________;
(2)求出图中点P的坐标,并解释该点坐标所表示的实际意义;
(3)乙在行驶过程中,何时距甲10km?