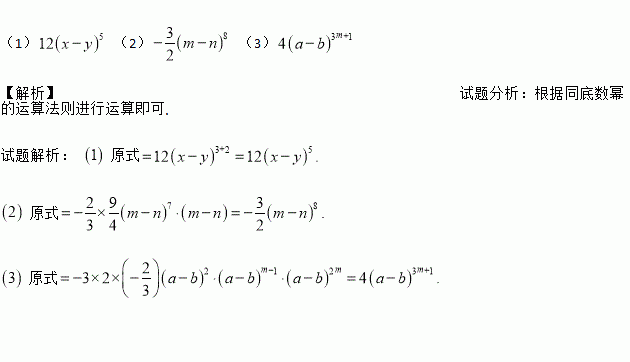
题目内容
把下列各式化为的形式.
(1);
(2);
(3).
某校为举办“庆祝建党90周年”的活动,从全校1400名学生中随机调查了280名学生,其中有80人希望举办文艺演出,据此估计该学校希望举办文艺演出的学生人数为( )
A. 1120 B. 400 C. 280 D. 80
城镇人口占总人口比例的大小表示城镇化水平的高低,如图所示,可知城镇化水平提高最快的时期是_______.
如图所示,AB⊥AC,AD⊥BC,垂足分别为A,D,AB=6 cm,AD=5 cm,则点B到直线AC的距离是__________,点A到直线BC的距离是__________.
画一条线段的垂线,垂足在( )
A. 线段上 B. 线段的端点
C. 线段的延长线上 D. 以上都有可能
=________.
如图,AB是⊙O的直径,AD是弦,∠A=22.5°,延长AB到点C,使得∠ACD=45°.
(1)求证:CD是⊙O的切线.
(2)若AB=2,求OC的长.
如图,AB是⊙O的弦,AO的延长线交过点B的⊙O的切线于点C,如果∠C=40°,则∠ABO的度数是( )
A. 50° B. 40° C. 25° D. 20度
如图,直线l1∥l2且l1,l2被直线l3所截,∠1=∠2=35°,∠P=90°,则∠3= 度.