题目内容
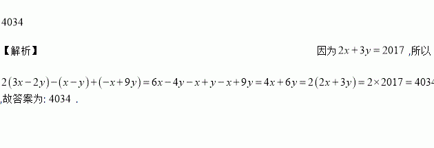
若,则代数式__________.
当x=1时,代数式ax3+bx+1的值为6,当x=﹣1时,代数式ax3+bx+1的值等于
A. 0 B. ﹣3 C. ﹣4 D. ﹣5
如图,OC是∠AOB的平分线,OD是∠BOC的平分线,则∠COD=______∠AOC, ∠BOD=______∠AOD.
下列计算中,正确的是:
A. 2x+3y=5xy B. 3x-x=3 C. 2x+3x=5x2 D. -x2-x2=-2x2
已知, , 在数轴上的对应点如图所示:
()根据数轴判断: __________, __________.(填, , )
()化简: .
已知, 互为相反数, , 互为倒数, 的绝对值等于,则的值为__________.
若, ,则与的大小关系是( ).
A. B. C. D. 无法确定
如图,边长为6的正方形ABCD内部有一点P,BP=4,∠PBC=60°,点Q为正方形边上一动点,且△PBQ是等腰三角形,则符合条件的Q点有__________个.
已知正比例函数和反比例函数在同一坐标系内的大致图像是( )
A. (1)或(3) B. (1)或(4) C. (2)或(3) D. (3)或(4)