题目内容
化简求值:
,其中
,
.
【答案】2
【解析】试题分析:先化简二次根式,然后合并同类二次根式即可.
试题解析:解:原式=
=![]()
当x=4,y=
时,原式=
=1+1=2.
【题型】解答题
【结束】
24
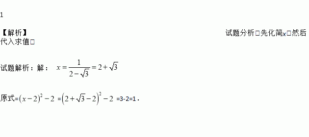
当
时,求代数式x2-4x+2的值.
练习册系列答案
相关题目
题目内容
化简求值:
,其中
,
.
【答案】2
【解析】试题分析:先化简二次根式,然后合并同类二次根式即可.
试题解析:解:原式=
=![]()
当x=4,y=
时,原式=
=1+1=2.
【题型】解答题
【结束】
24
当
时,求代数式x2-4x+2的值.