题目内容
阅读理【解析】
设
,
,若
,则
,即
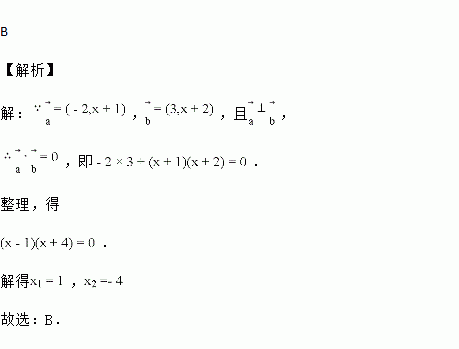
已知
,
,且
,则x的值为![]()
![]()
A. B. 1或![]()
C. ![]()
或4 D. 1![]()
练习册系列答案
相关题目
一茶叶专卖店经销某种品牌的茶叶,该茶叶的成本价是80元/kg,销售单价不低于120元/kg.且不高于180元/kg,经销一段时间后得到如下数据:
销售单价x(元/kg) | 120 | 130 | … | 180 |
每天销量y(kg) | 100 | 95 | … | 70 |
设y与x的关系是我们所学过的某一种函数关系.
(1)直接写出y与x的函数关系式,并指出自变量x的取值范围;
(2)当销售单价为多少时,销售利润最大?最大利润是多少?