题目内容
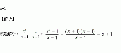
计算: .
解分式方程,可知方程的解为
A. B. C. D.无解
计算:
如图1,在平面直角坐标系中,已知抛物线与轴交于,两点,与轴交于点.
(1)求抛物线的函数表达式;
(2)若点是轴上的一点,且以为顶点的三角形与相似,求点的坐标;
(3)如图2,轴玮抛物线相交于点,点是直线下方抛物线上的动点,过点且与轴平行的直线与,分别交于点,,试探究当点运动到何处时,四边形的面积最大,求点的坐标及最大面积;
(4)若点为抛物线的顶点,点是该抛物线上的一点,在轴,轴上分别找点,,使四边形的周长最小,求出点,的坐标.
计算:.
若是一元二次方程的两个根,则的值是( )
A. B. C.4 D.
如图,在平面直角坐标系中,已知抛物线与x轴交于A(﹣1,0),B(2,0)两点,与y轴交于点C.
(1)求该抛物线的解析式;
(2)直线y=﹣x+n与该抛物线在第四象限内交于点D,与线段BC交于点E,与x轴交于点F,且BE=4EC.
①求n的值;
②连接AC,CD,线段AC与线段DF交于点G,△AGF与△CGD是否全等?请说明理由;
(3)直线y=m(m>0)与该抛物线的交点为M,N(点M在点N的左侧),点 M关于y轴的对称点为点M',点H的坐标为(1,0).若四边形OM'NH的面积为.求点H到OM'的距离d的值.
如图,在△ABC中,AB=AC,∠ABC=45°,以AB为直径的⊙O交BC于点D,若BC=,则图中阴影部分的面积为( )
A.π+1 B.π+2 C.2π+2 D.4π+1
如图,在菱形中,过点做于点,做于点,连接,
求证:(1);
(2)