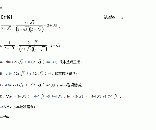
题目内容
已知: =,b=, 则a与b的关系是( )
A. B. C. D.
下列四组变形中,变形正确的是( )
A. 由5x+7=0得5x=﹣7 B. 由2x﹣3=0得2x﹣3+3=0
C. 由=2得x= D. 由5x=7得x=35
已知,则代数式的值为__________.
如图,已知P点是∠AOB平分线上一点,PC⊥OA,PD⊥OB,垂足为C、D.
(1)求证:∠PCD=∠PDC;
(2)求证:OP是线段CD的垂直平分线.
两个正数的平均数为2,其乘积的算术平方根为,则其中的大数比小数大( )
A. 4 B. 2 C. 6 D. 3
化简的结果是( )
A. 2 B. 2 C. 3 D. 3
课堂上,数学老师提出了如下问题:
如图1,若线段AD为△ABC的角平分线,请问一定成立吗?
小明和小芳分别作了如下探究:
小明发现:如图2,当△ABC为直角三角形时,且∠C=90°,∠CAB=60°时,结论成立;
小芳发现:如图3,当△ABC为任意三角形时,过点C作AB的平行线,交AD的延长线于点E,利用此图可以证明成立.
小明和小华玩“石头、剪子、布”的游戏,若随机出手一次,则小华获胜的概率是( )
, , 在数轴上的位置如下图,化简__________.