题目内容
计算
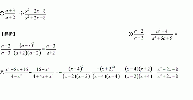
①÷. ②
解方程:
(1); (2).
在边长为1的小正方形组成的网格中,把一个点先沿水平方向平移|a|格(当a为正数时,表示向右平移;当a为负数时,表示向左平移),再沿竖直方向平移|b|格(当b为正数时,表示向上平移;当b为负数时,表示向下平移),得到一个新的点,我们把这个过程记为(a,b).
例如,从A到B记为:A→B(+l,+3);从C到D记为:C→D(+1,-2),
回答下列问题:
(1)如图1,若点A的运动路线为:A→B→C→A,请计算点A运动过的总路程.
(2)若点A运动的路线依次为:A→M(+2,+3),M→N(+1,-1),N→P(-2,+2),P→Q(+4,-4).请你依次在图2上标出点M、N、P、Q的位置.
(3)在图2中,若点A经过(m,n)得到点E,点E再经过(p,q)后得到Q,则m与p满足的数量关系是 ;n与q满足的数量关系是 .
的倒数是__.
数轴上一点A,一只蚂蚁从A 出发爬了4个单位长度到了原点,则点A所表示的数是( )
A. 4 B. C. D.
计算 (1) ________;________
若是完全平方式,则=___________。
如图,在△ABC和△ABD中,AC与BD相交于点E,AD=BC,∠DAB=∠CBA,求证:AC=BD.
一种纺织品的合格率是98%,300件产品中有( )件不合格。
A. 2 B. 4 C. 6 D. 296