题目内容
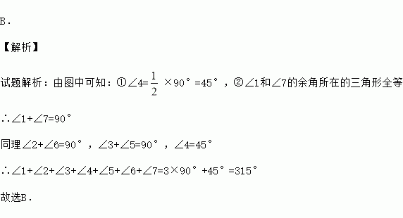
如图所示的4×4正方形网格中,∠1+∠2+∠3+∠4+∠5+∠6+∠7=( )
![]()
A.330° B.315° C.310° D.320°
B. 【解析】 试题解析:由图中可知:①∠4=×90°=45°,②∠1和∠7的余角所在的三角形全等 ∴∠1+∠7=90° 同理∠2+∠6=90°,∠3+∠5=90°,∠4=45° ∴∠1+∠2+∠3+∠4+∠5+∠6+∠7=3×90°+45°=315° 故选B.
练习册系列答案
相关题目
题目内容
如图所示的4×4正方形网格中,∠1+∠2+∠3+∠4+∠5+∠6+∠7=( )
![]()
A.330° B.315° C.310° D.320°
B. 【解析】 试题解析:由图中可知:①∠4=×90°=45°,②∠1和∠7的余角所在的三角形全等 ∴∠1+∠7=90° 同理∠2+∠6=90°,∠3+∠5=90°,∠4=45° ∴∠1+∠2+∠3+∠4+∠5+∠6+∠7=3×90°+45°=315° 故选B.