题目内容
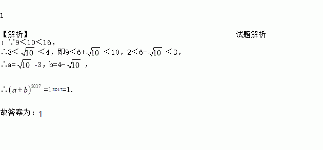
已知的小数部分为, 的小数部分为,则=__________.
某抗菌素两年前每盒售价为20元,现在售价为12.8元,则该抗菌素的年平均下降率为___________.
如图,在平面直角坐标系xOy中,直线y=kx+b(k≠0)与双曲线y=相交于点A(m,6)和点B(﹣3,n),直线AB与y轴交于点C.
(1)求直线AB的表达式;
(2)求AC:CB的值.
如图,在△ABC中,∠ACB=90°,CD是AB边上的高.如果BD =4,CD=6,那么是( )
A. B. C. D.
出租车司机小李某天下午营运全是在东西走向的大道上行驶,如果规定向东行驶为正,向西行驶为负,这天下午行车里程如下(单位:千米):
+10,-3,+16,-11,+12,-10,+5,-15,
+18,-16
(1)当最后一名乘客被送到目的地时,与出车地点的距离为多少千米?
(2)若每千米的营业额为7元,则这天下午营业额为多少?
-7的绝对值是__________.
下列说法正确的是( )
A. 绝对值最小的实数是0 B. 带根号的都是无理数
C. 无限小数是无理数 D. 是分数
如图,把长方形沿按图那样折叠后,A、B分别落在点G、H处,若∠1=50°,则∠AEF=( )
A. 110° B. 115° C. 120° D. 125°
计算:(1)()×36
(2)(﹣1)4﹣36÷(﹣6)+3×(﹣)