题目内容
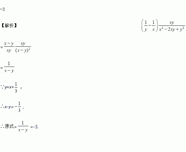
当y=x+时, 的值是_________.
如果|x+y﹣3|+(x﹣y+5)2=0,那么x2﹣y2=___________.
已知,一次函数y=(1-3k)x+2k-1,试回答:
(1)k为何值时,y随x的增大而减小?
(2)k为何值时,图像与y轴交点在x轴上方?
(3) 若一次函数y=(1-3k)x+2k-1经过点(3,4).请求出一次函数的表达式.
一名老师带领x名学生到动物园参观,已知成人票每张30元,学生票每张10元.设门票的总费用为y元,则y与x的函数关系为( )
A. y=10x+30 B. y=40x C. y=10+30x D. y=20x
已知.
(1)化简A;
(2)当满足不等式组,且为整数时,求A的值.
计算:-=_________.
下列等式成立的是( )
A. += B. = C. = D. =-
某种型号的电脑,原售价6000元/台,经连续两次降价后,现售价为4860元/台,设平均每次降价的百分率为,则根据题意可列出方程: .
某文具店准备购进甲,乙两种铅笔,若购进甲种钢笔100支,乙种铅笔50支,需要1000元,若购进甲种钢笔50支,乙种钢笔30支,需要550元.
(1)求购进甲,乙两种钢笔每支各需多少元?
(2)若该文具店准备拿出1000元全部用来购进这两种钢笔,考虑顾客需求,要求购进甲中钢笔的数量不少于乙种钢笔数量的6倍,且不超过乙种钢笔数量的8倍,那么该文具店共有几种.