题目内容
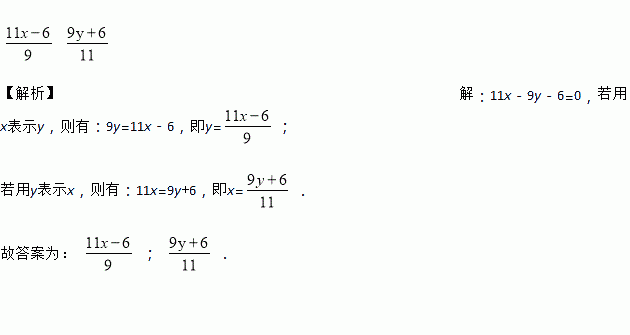
由,用x表示y,得y=_______,y表示x,得x=_______.
如图是由6个相同的小正方体搭成的几何体,那么这个几何体的俯视图是( )
A. B. C. D.
已知扇形AOB的半径OA=4,圆心角为90°,则扇形AOB的面积为_________.
甲、乙两人分别从相距30千米的A、B两地同时相向而行,经过3小时后相距3千米,再经过2小时,甲到B地所剩的路程是乙到A地所剩路程的2倍,试求甲、乙两人的速度.
如果与是同类项,那么 =_________, =___________.
若实数满足(x+y+2)(x+y-1)=0,则x+y的值为( )
A. 1 B. -2 C. 2或-1 D. -2或1
先阅读,再分解因式
参考上述做法,将下列多项式因式分【解析】
(1);(2)
如图, , ,则__________度.
将直角三角形ABC沿CB方向平移BE的距离后,得到直角三角形DEF,已知AG=4,BE=6,DE=12,求阴影部分的面积.