题目内容
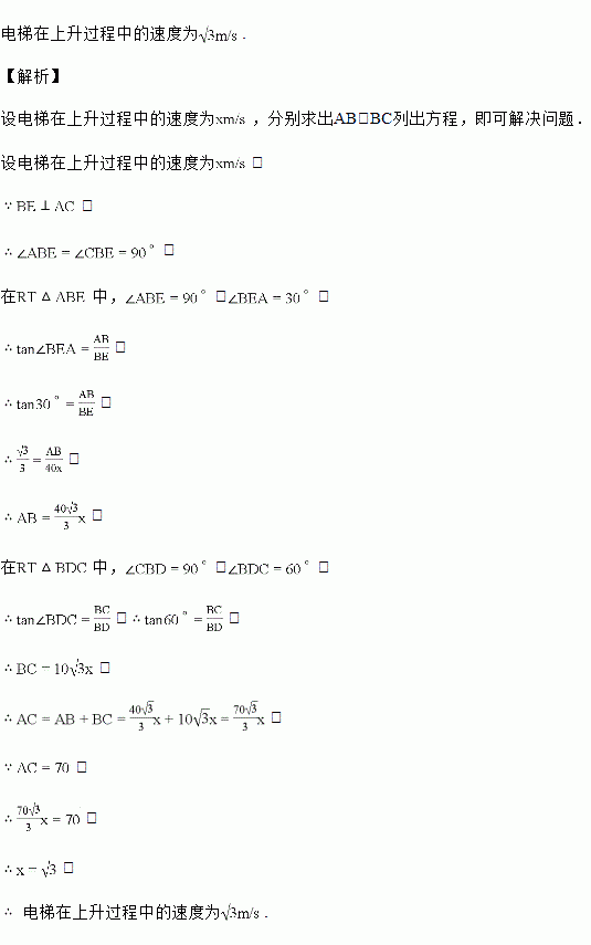
在某大型娱乐场,景点A、B、C依次位于同一直线上如图![]()
,B处是登高观光电梯的入口![]()
已知A、C之间的距离为70米,![]()
,电梯匀速运行10秒可从B处到达D处,此时可观察到景点C,电梯再次以相同的速度匀速运行30秒可到达E处,此时可观察到景点![]()
在D、E处分别测得![]()
,
,求电梯在上升过程中的运行速度.
![]()
练习册系列答案
相关题目
题目内容
在某大型娱乐场,景点A、B、C依次位于同一直线上如图![]()
,B处是登高观光电梯的入口![]()
已知A、C之间的距离为70米,![]()
,电梯匀速运行10秒可从B处到达D处,此时可观察到景点C,电梯再次以相同的速度匀速运行30秒可到达E处,此时可观察到景点![]()
在D、E处分别测得![]()
,
,求电梯在上升过程中的运行速度.
![]()