题目内容
计算:(-+)(+-)=________.
下列各式计算正确的是( )
A. 2+b=2b B. C. (2a2)3=8a5 D. a6÷ a4=a2
在网络时代里,每年网络上都会出现很多红极一时的网络流行语,为了解同学们对网络流行语的使用情况,某数学兴趣小组选取了其中的 A:“蓝瘦香菇”,B:“洪荒之力”,C:“老司机”,D:“套路”四个网络流行语在全校3000名学生中进行了抽样调查,要求每位被调查学生只能从中选择一个自己用得最多的网络流行语.根据调查结果,该小组绘制了如下两幅不完整的统计图,根据图中提供的信息,请补全条形统计图并估计该校学生用得最多的网络流行语.
计算2a3+3a3结果正确的是( )
A. 5a6 B. 5a3 C. 6a6 D. 6a3
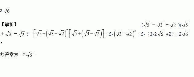
计算:
(1)2(+)-3(-);
(2)( -2)(+5)-(-)2.
若+2 +=10,则x的值为( )
A. 4 B. ±4 C. 2 D. ±2
如图,在高为3米,斜坡长为5米的楼梯表面铺地毯,则地毯的长度至少需要多少米?若楼梯宽2米,地毯每平方米30元,那么这块地毯需花多少元?
如图,在△ABC中,∠B=40°,EF∥AB,∠1=50°,CE=3,EF比CF大1,则EF的长为( )
A. 5 B. 6 C. 3 D. 4
2008年5月30日,国务院关税税则委员会决定从当天起对纺织品出口关税作出进一步调整,对一些纺织品取消征收出口关税.在此背景下,某报报道了2008年1~4月份某市服装对外出口的情况,并绘制统计图如下:
请你根据统计图中提供的信息,回答下列问题:
(1)2008年1~4月份,该市服装企业出口额较多的是哪两个国家?
(2)2008年1~4月份,该市服装企业平均每月出口总额是多少万美元?