题目内容
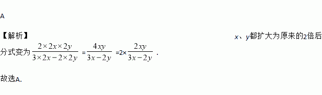
如果把分式中的x和y的值都扩大为原来的2倍,那么分式的值( )
A. 扩大为原来的2倍 B. 扩大4倍 C. 缩小为原来的2倍 D. 不变
计算:(1) ;
(2) .
如图,已知A、B、C、D四点,根据下列要求画图:
(1)画直线AB、射线AD;
(2)画∠CDB;
(3)找一点P,使点P既在AC上又在BD上.
如图,已知:△ABC中,AB=AC,M是BC的中点,D、E分别是AB、AC边上的点,且BD=CE.求证:MD=ME.
在平面直角坐标系中,已知点A(m,2)与点B(3,n)关于y轴对称,则(m+n)2017的值为____________.
中国女药学家屠呦呦获2015年诺贝尔医学奖,她的突出贡献是创制新型抗疟药青蒿素和双氢青蒿素,这是中国医学界迄今为止获得的最高奖项.已知显微镜下的某种疟原虫平均长度为0.0000015米,该长度用科学记数法表示为( )米.
A. 1.5 10-6 B. 1510-6 C. 1.510-7 D. 1510-7
如图,在Rt△ABC中,∠ACB=90°,AC=3,BC=4,以点C为圆心,CA为半径的圆与AB交于点D,则AD的长为( )
A. B. C. D.
如图所示,⊙O的半径为5,弦AB=,C是圆上一点,则∠ACB的度数是( )
A. 30° B. 45° C. 55° D. 60°
菱形的两条对角线长分别为9cm与4cm,则此菱形的面积为( )cm2.
A. 12 B. 18 C. 20 D. 36