题目内容
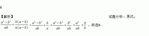
化简等于( )
A. B. C. ﹣ D. ﹣
收集和整理数据.
某中学七(1)班学习了统计知识后,数学老师要求每个学生就本班学生的上学方式进行一次全面调查,如图是一同学通过收集数据后绘制的两幅不完整的统计图,请根据图中提供的信息,解答下列问题:(每个学生只选择1种上学方式).
(1)求该班乘车上学的人数;
(2)将频数分布直方图补充完整;
(3)若该校七年级有1200名学生,能否由此估计出该校七年级学生骑自行车上学的人数,为什么?
货车和小汽车同时从甲地出发,以各自的速度匀速向乙地行驶,小汽车到达乙地后,立即以相同的速度沿原路返回甲地,已知甲、乙两地相距180千米,货车的速度为60千米/小时,小汽车的速度为90千米/小时,则下图中能分别反映出货车、小汽车离乙地的距离y(千米)与各自行驶时间t(小时)之间的图象是( )
A. B.
C. D.
(1)先化简,再求值: ,其中a=1, .
(2)解不等式组
如图,Rt△ABC中∠C=90°,∠BAC=30°,AB=8,以2为边长的正方形DEFG的一边GD在直线AB上,且点D与点A重合,现将正方形DEFG沿A﹣B的方向以每秒1个单位的速度匀速运动,当点D与点B重合时停止,则在这个运动过程中,正方形DEFG与△ABC的重合部分的面积S与运动时间t之间的函数关系图象大致是( )
A. B. C. D.
中国移动数据中心IDC项目近日在高新区正式开工建设,该项目规划建设规模12.6万平方米,建成后将成为山东省最大的数据业务中心.其中12.6万用科学技术法表示应为( )
A. B. C. D.
如图, 是⊙的直径, 轴, 交⊙于点.
()若点, . ,求点的坐标.
()若为线段的中点,求证:直线是⊙的切线.
如图,AB是⊙O的直径,C,D是⊙O上位于AB异侧的两点.下列四个角中,一定与∠ACD互余的角是( )
A. ∠ADC B. ∠ABD C. ∠BAC D. ∠BAD
如图,直线AB∥CD,∠1=136°,∠E为直角,则∠C等于( )
A.42° B.44° C.46° D.48°