题目内容
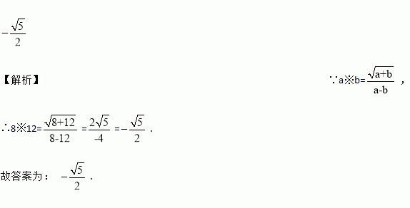
对于任意不相等的两个实数a、b,定义运算“*”,如下: ,如,那么8*12=_______.
已知乙组人数是甲组人数的一半,若将乙组人数的调入甲组,则甲组比乙组多15人,设甲组人数为人,乙组人数为人,根据题意,列出方程组:________________
如图,OA⊥OB,OC⊥OD,OE是OD的反向延长线.
(1) ∠AOC等于∠BOD吗?请说明理由;
(2)若∠BOD=32°,求∠AOE的度数.
已知某正数的两个平方根分别是2a﹣7和a+4,b﹣12的立方根为﹣2.
(1)求a、b的值;
(2)求a+b的平方根.
已知,则 ;
下列说法正确的是【】
A. 任何非负数都有两个平方根 B. 一个正数的平方根仍然是正数
C. 只有正数才有平方根 D. 任何数都有立方根
解方程:
(1);
(2).
将点A(3,2)沿x轴向左平移4个单位长度得到点A′,点A′关于y轴对称的点的坐标是( )
A. (﹣3,2) B. (﹣1,2) C. (1,2) D. (1,﹣2)
如图,直线AD⊥BD,垂足为D,则点B到线段AC的距离是( )
A. 线段AC的长 B. 线段AD的长
C. 线段BC的长 D. 线段BD的长