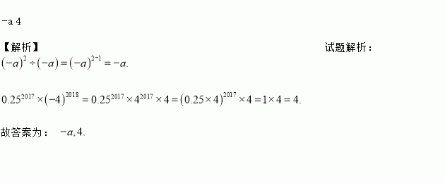
题目内容
计算:
=________,
=______.
练习册系列答案
相关题目
某农场300名职工耕种51公顷土地,计划种植水稻,棉花和蔬菜,已知种植农作物每公顷所需的劳动力人数及投入的设备资金如下表:
农作物品种 | 每公顷需劳动力 | 每公顷需投入资金 |
水稻 | 4人 | 1万元 |
棉花 | 8人 | 1万元 |
蔬菜 | 5人 | 2万元 |
已知该农场计划在设备上投入67万元,应该怎样安排三种农作物的种植面积,才能使所有的职工都有工作,而且投入的资金正好够用?
题目内容
计算:
=________,
=______.
某农场300名职工耕种51公顷土地,计划种植水稻,棉花和蔬菜,已知种植农作物每公顷所需的劳动力人数及投入的设备资金如下表:
农作物品种 | 每公顷需劳动力 | 每公顷需投入资金 |
水稻 | 4人 | 1万元 |
棉花 | 8人 | 1万元 |
蔬菜 | 5人 | 2万元 |
已知该农场计划在设备上投入67万元,应该怎样安排三种农作物的种植面积,才能使所有的职工都有工作,而且投入的资金正好够用?