题目内容
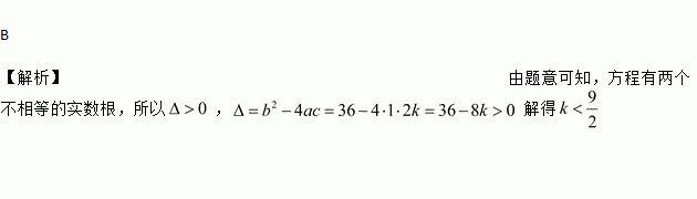
关于x的一元二次方程x2﹣6x+2k=0有两个不相等的实数根,则实数k的取值范围是( )
A. k≤ B. k< C. k≥ D. k>
在平面直角坐标系中,将点P(﹣2,1)向右平移3个单位长度,再向上平移4个单位长度得到点P′的坐标是( )
A.(2,4) B.(1,5) C.(1,-3) D.(-5,5)
若A(x,3)关于y轴的对称点是B(-2,y),则x=____ ,y=______ ,点A关于x轴的对称点的坐标是___________ 。
为加强学生身体锻炼,某校开展体育“大课间”活动,学校决定在学生中开设A:篮球,B:立定跳远,C:跳绳,D:跑步,E:排球五种活动项目.为了了解学生对五种项目的喜欢情况,随机抽取了部分学生进行调查,并将调查结果绘制成如图所示的两个统计图.请结合图中的信息解答下列问题:
(1)在这项调查中,共调查了_______名学生;
(2)请将两个统计图补充完整;
(3)若该校有1200名在校学生,请估计喜欢排球的学生大约有多少人?
如图,⊙O的直径AB过弦CD的中点E,若∠C=25°,则∠D=________.
如图所示,给出下列条件:①∠B=∠ACD;②∠ADC=∠ACB;③;④AC2=AD·AB.其中单独能够判定△ABC∽△ACD的个数为( )
A. 1 B. 2 C. 3 D. 4
如图,AB为半圆O的直径,C为BA延长线上一点,CD切半圆O于点D。连结OD,作BE⊥CD于点E,交半圆O于点F。已知CE=12,BE=9,
(1)求证:△COD∽△CBE;
(2)求半圆O的半径的长
下列说法中,正确的是( )
A. 不可能事件发生的概率是0 B. 打开电视机正在播放动画片,是必然事件
C. 随机事件发生的概率是 D. 对“梦想的声音”节目收视率的调查,宜采用普查
如图,在边长为1的正方形网格中,△ABC的顶点均在格点上.
(1)画出关于原点成中心对称的△A′B′C′,并直接写出△A′B′C′各顶点的坐标.
(2)求点B旋转到点B′的路径(结果保留π).