题目内容
如图,丁轩同学在晚上由路灯AC走向路灯BD,当他走到点P时,发现身后他影子的顶部刚好接触到路灯AC的底部,当他向前再步行20m到达Q点时,发现身前他影子的顶部刚好接触到路灯BD的底部,已知丁轩同学的身高是1.5m,两个路灯的高度都是9m,则两路灯之间的距离是 m.
【答案】分析:根据条件易证AP=BQ,求两路灯之间的距离的问题可以转化为求AP的长度的问题,设AP=BQ,易证△BQN∽△BAC,根据相似三角形的对应边的比相等,即可求解.
解答:解:∵MP∥BD,
∴
=
,
同理,
=
,
∵AC=BD,
∴AP=BQ,
设AP=BQ=x,则AB=2x+20,
∵NQ∥AC
∴△BQN∽△BAC,
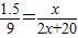
∴
=
,即
,
解得:x=5.
则两路灯之间的距离是2×5+20=30m.
故答案为:30.
点评:本题考查相似三角形的判定与性质的实际应用及分析问题、解决问题的能力.利用数学知识解决实际问题是中学数学的重要内容.解决此问题的关键在于正确理解题意的基础上建立数学模型,把实际问题转化为数学问题.
解答:解:∵MP∥BD,
∴
同理,
∵AC=BD,
∴AP=BQ,
设AP=BQ=x,则AB=2x+20,
∵NQ∥AC
∴△BQN∽△BAC,
∴
解得:x=5.
则两路灯之间的距离是2×5+20=30m.
故答案为:30.
点评:本题考查相似三角形的判定与性质的实际应用及分析问题、解决问题的能力.利用数学知识解决实际问题是中学数学的重要内容.解决此问题的关键在于正确理解题意的基础上建立数学模型,把实际问题转化为数学问题.
练习册系列答案
相关题目