题目内容
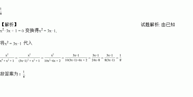
若x2-3x+1=0,则的值为________.
如图,是某工厂2010~2013年的年产值统计图,则年产值在2500万元以上的年份是( )
A. 2011年 B. 2012年
C. 2013年 D. 2011年和2013年
为打造平安校园,增强学生安全防范意识,龙岗某学校组织了 1200名学生参 加校园安全网络知识竞赛.赛后随机抽取了其中200名学生的成绩作为样本进行整理,并 制作了如下不完整的频数分布表和频数分布直方图.
请根据图表提供的信息,解答下列各题:
(1)表中m= ,n= ,请补全频数分布直方图.
(2)若用扇形统计图来描述成绩分布情况,z则分数段80≤x<90对应扇形的圆心角的度数是 .
(3)若成绩在80分以上(包括80分)为合格,则参加这次竞赛的1200名学生中成绩合格的大约有多少名?
我国推行“一带一路”政策以来,已确定沿线有65个国家加入,共涉及总人口约达46亿人,用科学记数法表示该总人口为( )
A. 4.6×109 B. 46×108 C. 0.46×10 10 D. 4.6×1010
若a、b、c分别是三角形的三边长,化简:.
一个数的平方根是3x-2和5x+6,则这个数为__.
设n为正整数,且n<<n+1,则n的值为( )
A. 5 B. 6 C. 7 D. 8
已知一个等腰三角形两内角的度数之比为1:4,则这个等腰三角形顶角的度数为___________.
如图,OP=1,过P作且,根据勾股定理,得;再过作且=1,得;又过作且,得OP3=2;…依此继续,得____, _________(n为自然数,且n>0).