题目内容
已知二次函数图象的顶点是(-1,2),且过点(0,
)。
(1)求二次函数的表达式,并在上面的网格中画出它的图象;
(2)说明对于任意实数m,点M(m,-m2)在不在这个二次函数的图象上。
(2)说明对于任意实数m,点M(m,-m2)在不在这个二次函数的图象上。
解:(1)依题意可设此二次函数的表达式为
, 又点
在它的图象上,可得
,解得
,
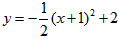
所求为
,
令y=0,得
,
画出其图象如图:

所求为
令y=0,得
画出其图象如图:
(2)若点
在此二次函数的图象上,则
,得
,
方程的判别式:
,该方程无解,
所以点
不在此二次函数的图象上。
方程的判别式:
所以点
练习册系列答案
相关题目