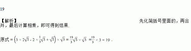
题目内容
计算:.
填表:
近似数
精确到的数位
127.32
0.040
230.0万
4.020
450
2.1×104
下列分式中,分式的值不可能为O的是( )
A. B. C. D.
如图,在平面直角坐标系中, ⊙O的半径是1,直线AB与x轴交于点P(x,0),且与x轴的正半轴夹角为45°,若直线AB与⊙O有公共点,则x值的范围是( )
A. -1≤x≤1 B. -≤x≤ C. -<x< D. 0≤x≤
国家规定,“中小学生每天在校体育锻炼时间不小于1小时”,某地区就“每天在校体育锻炼时间”的问题随机调查了若干名中学生,根据调查结果制作如下统计图(不完整).其中分组情况:A组:时间小于0.5小时;B组:时间大于等于0.5小时且小于1小时;C组:时间大于等于1小时且小于1.5小时;D组:时间大于等于1.5小时.
根据以上信息,回答下列问题:
(1)A组的人数是 人,并补全条形统计图;
(2)本次调查数据的中位数落在组 ;
(3)根据统计数据估计该地区25 000名中学生中,达到国家规定的每天在校体育锻炼时间的人数约有多少人.
命题“直角三角形斜边上的中线等于斜边的一半”的逆命题是 ___________________ .它是 ________ 命题(填“真”或“假”).
若代数式 在实数范围内有意义,则的取值范围是( )
A. B. C. D. 且
如图,PA、PB切⊙O于点A、B,PA=10,CD切⊙O于点E,交PA、PB于C、D两点,则△PCD的周长是( )
A. 10 B. 18 C. 20 D. 22
如图,矩形ABCD中,AB=3,BC=4,点E是BC边上一点,连接AE,把∠B沿AE折叠,使点B落在点处,当△为直角三角形时,BE的长为 .