题目内容
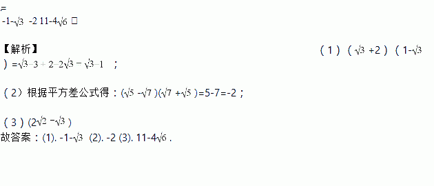
化简:(1)(+2)(1-)的结果是____________;(2)(-)(+) 的结果是____________;
(3)(2?)2的结果是____________。
如图,在一张长方形ABCD纸张中,一边BC折叠后落在对角线BD上,点E为折痕与边CD的交点,若AB=5,BC=12,求图中阴影部分的面积.
函数y=中,若x>0,则它的图象位于第 象限.
分解因式:x3y﹣xy= .
|﹣2|的值是( )
A. ﹣2 B. 2 C. D. ﹣
a是-5的整数部分,则a为( )
A. -1 B. 1 C. 0 D. -2
已知x=,求x6+x5+2x4-4x3+3x2+4x-4的整数部分.
如图,直线AB、EF相交于O点,CD⊥AB于O点,,则的度数分别为 _______,_______.
如图,点D、E分别在AC、BC上,如果测得CD=20m,CE=40m,AD=100m,BE=20m,DE=45m,求A、B两地间的距离。