题目内容
能使分式的值为零的所有x的值是( )
A. x=0 B. x=1 C. x=0或x=1 D. x=0或x=±1
在平面直角坐标系中,已知点P0的坐标为(1,0),将P0绕原点O按逆时针方向旋转30°得点P1,延长OP1到P2,使OP2=2OP1,再将点P2绕原点O按逆时针方向转动30°得到点P3,延长OP3到P4,使OP4=2OP3,…,如果继续下去,点P2016的坐标为_________.
剪纸是扬州的非物质文化遗产之一,下列剪纸作品中是中心对称图形的是( )
A. B. C. D.
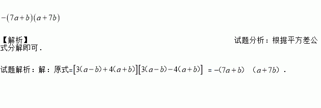
中,有一个因式为,则值为( )
A. 2 B. -2 C. 6 D. -6
若分式的值为零,则x的值是( )
A. ±1 B. 1 C. ﹣1 D. 0
约分: _______ ; ________ 。
观察下列各式及验证过程:
验证:
=验证:
(1)按照上述三个等式及其验证过程的基本思路,猜想的变形结果并进行验证;
(2)针对上述各式反映的规律,写出用n(n≥2的自然数)表示的等式,并进行验证.