题目内容
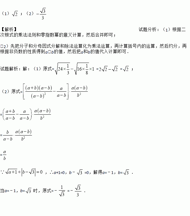
(1)计算: ×﹣4××(1﹣)0;
(2)先化简,再求值:(+)÷,其中a,b满足+|b﹣|=0.
(2015•泰州)下列4个数: 、、π、,其中无理数是( )
A. B. C. π D.
当a≥0时,化简: =______________.
若一个长方形的面积为10 cm2,它的长与宽的比为5∶1,则它的长为______cm,宽为_____cm.
下列各式中,一定是二次根式的是( )
A. B. C. D.
计算: ×(﹣)+|﹣2|+()﹣3.
计算: ﹣﹣=______.
比较下列各组数的大小:
(1) 与; (2)- 与-; (3)5与; (4) 与1.5.
求下列各数的平方根:
(1)100; (2)0.008 1; (3) .