题目内容
下列各式计算正确的是( )
A. a12÷a6=a2 B. (x+y)2=x2+y2
C. D.
一个蓄水池有15 m3的水,以每分钟0.5 m3的速度向池中注水,蓄水池中的水量Q(m3)与注水时间t(分)间的函数表达式为(C)
A. Q=0.5t B. Q=15t C. Q=15+0.5t D. Q=15-0.5t
不等式组的解集正确的是( )
A. 1<x≤2 B. x≥2 C. x<1 D. 无
【答案】A
【解析】
解①得
;
解②得
∴不等式组的解集是.
故选A.
【题型】单选题【结束】15
定义:对于实数a,符号[a]表示不大于a的最大整数.例如:[5.7]=5,[5]=5,[﹣π]=﹣4.如果[a]=﹣3,则a的取值范围为( )
A. ﹣4<a≤﹣3 B. ﹣4≤a<﹣3 C. ﹣3<a≤﹣2 D. ﹣3≤a<﹣2
将1、、、按右侧方式排列.若规定(m,n)表示第m排从左向右第n个数,则(5,4)与(9,4)表示的两数之积是______.
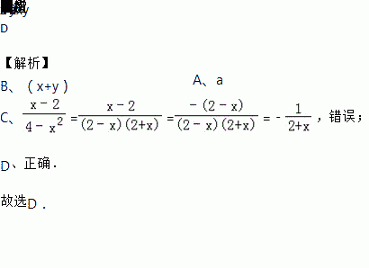
下列计算正确的是( )
A. 2×3=6 B. 3×3=3
C. 4×2=8 D. 2×6=12
计算: 于( )
A. B. C. D.
二次根式, ,的大小关系是( )
A. B.
若成立,则a,b满足的条件是( ).
A. a<0且b>0 B. a≤0且b≥0 C. a<0且b≥0 D. a,b异号
求下列各数的平方根:(1)144;(2).