题目内容
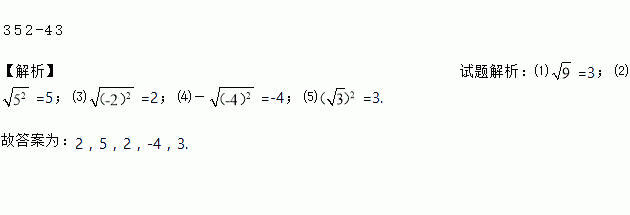
计算:⑴=____ ⑵=____ ⑶=____
⑷-=_______ ⑸=____.
下列各式: (1?– x),, , ,其中分式有( )
A. 1个 B. 2个 C. 3个 D. 4个
当x 时,代数式2x-3的值是正数.
如果某数的一个平方根是-6,那么这个数为 。
求下列各数的算术平方根:
⑴ 169 ⑵ 0.0256
⑶1 ⑷ (-2)2
下列各式中无意义的是( )
A. - B. C. D. -
已知直线AB∥CD.
(1)如图1,直接写出∠ABE,∠CDE和∠BED之间的数量关系是 .
(2)如图2,BF,DF分别平分∠ABE,∠CDE,那么∠BFD和∠BED有怎样的数量关系?请说明理由.
(3)如图3,点E在直线BD的右侧,BF,DF仍平分∠ABE,∠CDE,请直接写出∠BFD和∠BED的数量关系 .
如图,已知点A,B,C,D均在已知圆上,AD∥BC,CA平分∠BCD,∠ADC=120°,四边形ABCD的周长为10.
(1)求此圆的半径;
(2)求图中阴影部分的面积.
已知∠α=35°,则∠α的补角的度数是( )
A. 55° B. 65° C. 145° D. 165°