题目内容
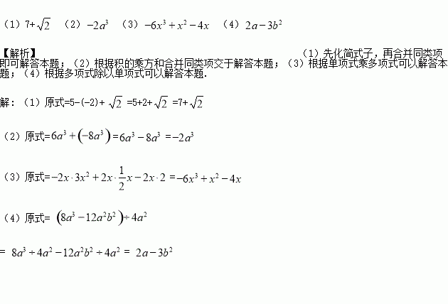
计算
(1) (2)
(3) (4)
小明用棋子摆放图形来研究数的规律.图1中棋子围城三角形,其棵数3,6,9,12,…称为三角形数.类似地,图2中的4,8,12,16,…称为正方形数.下列数中既是三角形数又是正方形数的是( )
A. 2010 B. 2012 C. 2014 D. 2016
如图,在边长为1的正方形组成的网格中,△AOB的顶点均在格点上,其中点A(5,4),B(1,3),将△AOB绕点O逆时针旋转90°后得到△A1OB1.
(1)画出△A1OB1;
(2)在旋转过程中点B所经过的路径长为 ;
(3)求在旋转过程中线段AB、BO扫过的图形的面积之和.
在双曲线的任一支上,y都随x的增大而增大,则k的值可以是( )
A. 2 B. 0 C. ﹣2 D. 1
如图,已知线段AB.
(1)用尺规作图的方法作出线段AB的垂直平分线l (保留作图痕迹,不要求写出作法);
(2)在(1)中所作的直线l上任意取两点M,N(不重合).连结AM,AN,BM,BN.
求证:∠MAN=∠MBN.
如果,那么=__________
下列条件中,不能判定两个三角形全等的是( )
A. 三条边对应相等 B. 两边和一角对应相等
C. 两角和其中一角的对边对应相等 D. 两角和它们的夹边对应相等
小明不慎将墨水滴在数轴上,根据图中的数值,判定墨迹盖住部分的整数的和是______.
在茶节期间,某茶商订购了甲种茶叶90吨,乙种茶叶80吨,准备用A、B两种型号的货车共20辆运往外地.已知A型货车每辆运费为0.4万元,B型货车每辆运费为0.6万元.(13分)
(1)设A型货车安排x辆,总运费为y万元,写出y与x的函数关系式;
(2)若一辆A型货车可装甲种茶叶6吨,乙种茶叶2吨;一辆B型货车可装甲种茶叶3吨,乙种茶叶7吨.按此要求安排A、B两种型号货车一次性运完这批茶叶,共有哪几种运输方案?
(3)说明哪种方案运费最少?最少运费是多少万元?