题目内容
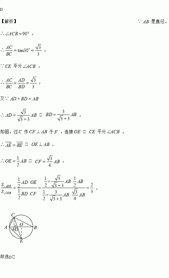
如图, 内接于⊙, 是⊙的直径, , 平分交⊙于,交于点,连接,则的值等于( ).
A. B. C. D.
如图,上午9时,一条船从A处出发,以20海里/时的速度向正北航行,12时到达B处,测得∠NAC=36°,∠ABC=108°,求从B处到灯塔C的距离.
如图,E、P、F分别是AB、AC、AD的中点,则四边形AEPF与四边形ABCD________ (填“是”或“不是”)位似图形.
已知函数, .在同一平面直线坐标系中
()若函数的图象过点,函数的图象过点,求, 的值.
()若函数的图象经过的顶点.
①求证: .
②当时,比较, 的大小.
如图,抛物线与双曲线的交点的横坐标是,则关于的不等式的解集是__________.
函数与的图象可能是( ).
如图,在△ABC中,AB=AC,∠BAC=90°,AH⊥BC于点H,过点C作CD⊥AC,连接AD,点M为AC上一点,且AM=CD,连接BM交AH于点N,交AD于点E.
(1)若AB=3,AD=,求△BMC的面积;
(2)点E为AD的中点时,求证:AD=BN .
如图,△ABC的三个顶点都在⊙O上,AD是直径,且∠CAD=56°,则∠B的度数为( )
A. 44° B. 34° C. 46° D. 56°
a,b,c是实数,点A(a+1,b),B(a+2,c)在二次函数y=x2-2ax+3的图象上,则b,c的大小关系是b_____c.(用“>”或“<”填空)