搜索
题目内容
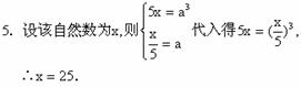
某自然数的5倍等于数a的立方,该自然数的
恰是数a,则这个自然数是_________.
试题答案
相关练习册答案
练习册系列答案
智秦优化360度训练法系列答案
优翼优干线系列答案
绩优课堂全优达标测试卷系列答案
100分闯关期末冲刺系列答案
绩优课堂单元达标创新测试卷系列答案
名校秘题冲刺卷系列答案
神龙牛皮卷期末100分闯关系列答案
状元成才路创新名卷系列答案
优优好卷单元测评卷系列答案
名校联盟快乐课堂系列答案
相关题目
某自然数的5倍等于数a的立方,该自然数的
1
5
恰是数a,则这个自然数是
.
某自然数的5倍等于数a的立方,该自然数的
恰是数a,则这个自然数是 ________.
关 闭
试题分类
高中
数学
英语
物理
化学
生物
地理
初中
数学
英语
物理
化学
生物
地理
小学
数学
英语
其他
阅读理解答案
已回答习题
未回答习题
题目汇总
试卷汇总
练习册解析答案