题目内容
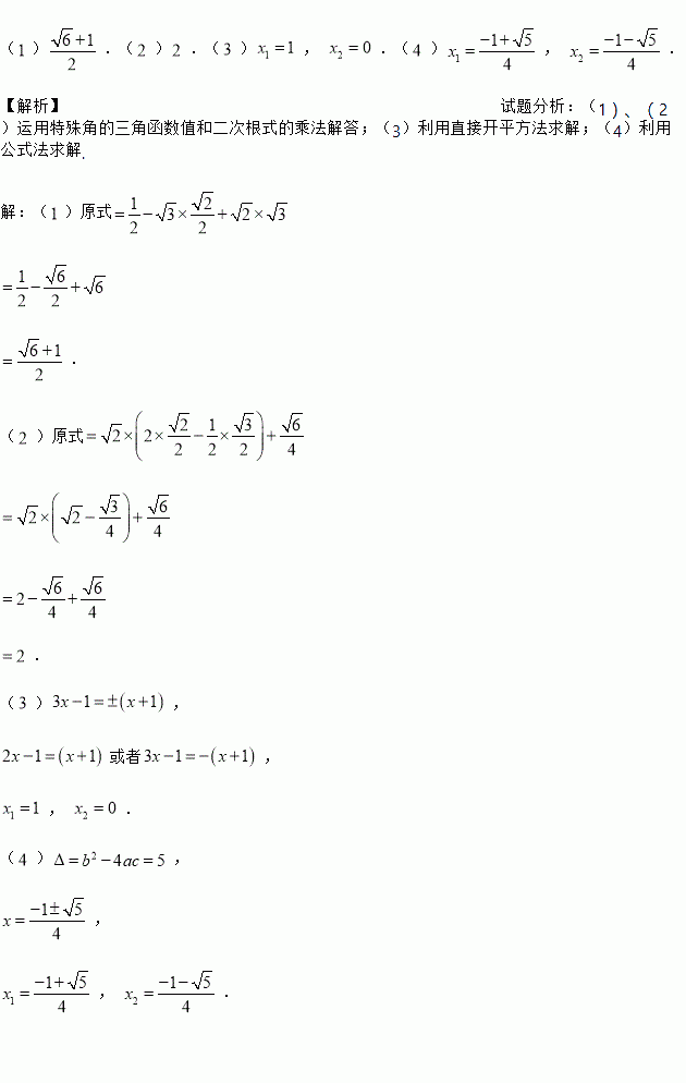
计算()(),并解()()两个方程(每题分,共分)
().
已知x=3是方程11-2x=ax-1的解,则a=______.
(分)如图,管中放置着三根同样的绳子, , .
()小明从这三根绳子中随机选一根,恰好选中绳子的概率是__________.
()小明先从左端, , 三个绳头中随机选两个打一个结,再从右端, , 三个绳头中随机选两个打一个结,求这三根绳子能连结成一根长绳的概率.
在中, , , , 的垂直平分线交于点,交的延长线于点,则的长为( ).
A. B. C. D.
关于的方程是一元二次方程的条件是( ).
如图是一个长方体的三视图,若其俯视图为正方形,则这个长方体的体积为__________.
如图,在平面直角坐标系中,点A是x轴正半轴上的一个定点,点P是双曲线y=(x>0)上的一个动点,PB⊥y轴于点B,当点P的横坐标逐渐增大时,四边形OAPB的面积将会( )
A. 逐渐增大 B. 不变 C. 逐渐减小 D. 先增大后减小
计算: .
的算术平方根是__________, 的平方根是__________, 的立方根是__________.