题目内容
化简:的结果是 .
若k≠0,b<0,则y=kx+b的图象可能是( )
计算+|-2|-2tan60°+()-1.
综合与探究
如图(1),线段AB的两个端点的坐标分别为(-12,4)(0,10),点P从点B出发,沿BA方向匀速向点A运动;同时,点Q从坐标原点O出发,沿x轴的反方向以相同的速度运动,当点P到达点A时,P,Q两点同时停止运动,设运动的时间为t秒,ΔOPQ的面积S(平方单位)与时间t(秒)之间的函数图象如图(2)所示。
(1)求点P的运动速度;
(2)求面积S与t的函数关系式及当S最最大值时点P的坐标;
(3)点P是S取最大值时的点,设点M为x轴上的点,点N为坐标平面内的点,以点O,P,M,N为顶点的四边形地矩形,请直接写出点N的坐标。
(1)计算:
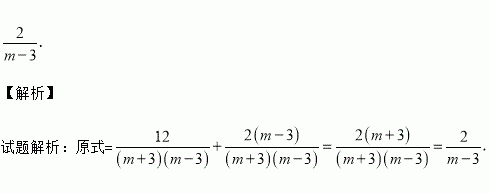
(2)先化简,再求值: ,其中x=2
一个不透明的口袋中有红色、黑色、白色的玻璃球共40个,这些球除颜色外都相同,小李将口袋中的球衣搅拌均匀,从中随机摸出一个球,记下它的颜色后再放回口袋中,不断重复这一过程,通过大量摸球实验后,统计结果显示摸到红色球、黑色球的频率稳定在15%和45%,则口袋中白色球的个数很可能是( )
A. 24 B. 20 C. 18 D. 16
某车间有工人56名,生产一种螺栓和螺母,每人每天平均能生产螺栓24个或螺母36个,应分配多少人生产螺栓,多少人生产螺母,才能使一个螺栓配2个螺母刚好配套?
用代入消元法解方程组,代入消元,正确的是( )
A. 由①得y=3x+2,代入②后得3x=11-2(3x+2)
B. 由②得x=代入②得 3-=11-2y
C. 由①得x=代入②得2-y=11-2y
D. 由②得3x=11-2y,代入①得11-2y-y=2
如图,三角形ABE向右平移一定距离后得到三角形CDF,若∠BAE=60º,∠B=25º,则∠ACD= .