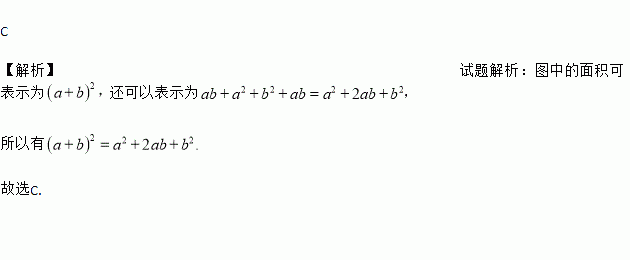
题目内容
如图的图形面积由以下哪个公式表示( )
![]()
A. a2﹣b2=a(a﹣b)+b(a﹣b) B. (a﹣b)2=a2﹣2ab+b2
C. (a+b)2=a2+2ab+b2 D. a2﹣b2=(a+b)(a﹣b)
练习册系列答案
相关题目
题目内容
如图的图形面积由以下哪个公式表示( )
![]()
A. a2﹣b2=a(a﹣b)+b(a﹣b) B. (a﹣b)2=a2﹣2ab+b2
C. (a+b)2=a2+2ab+b2 D. a2﹣b2=(a+b)(a﹣b)