题目内容
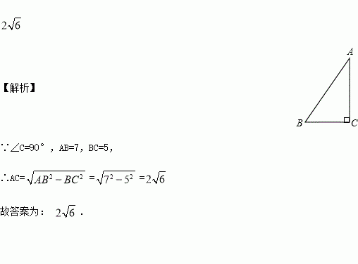
在△ABC中,∠C=90°,AB=7,BC=5,则边AC的长为________.
练习册系列答案
相关题目
注意:为了使同学们更好地解答本题,我们提供了一种解题思路,你可以依照这个思路,填写表格,并完成本题解答的全过程.如果你选用其他的解题方案,此时,不必填写表格,只需按照解答题的一般要求,进行解答即可.
天津市奥林匹克中心体育场——“水滴”位于天津市西南部的奥林匹克中心内,某校九年级学生由距“水滴”10千米的学校出发前往参观.一部分同学骑自行车先走,过了20分钟后,其余同学乘汽车出发.结果他们同时到达.已知汽车的速度是骑自行车同学速度的2倍,求骑自行车同学的速度.
(1)设骑车同学的速度为x千米/时.利用速度、时间、路程之间的关系填写下表.(要求:填上适当的代数式,完成表格)
速度/(千米/时) | 所用时间/时 | 所走的路程/千米 | |
骑自行车 | |||
乘汽车 |
(2)列出方程(组),并求出问题的解.