题目内容
阅读题目:计算
,
小明同学是这样计算的
=![]()
小刚同学是这样计算的
=![]()
问题填空:
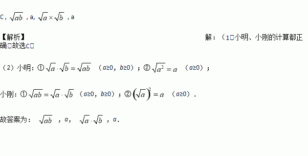
(1)两位同学做法正确的是( )
A. 小明正确 B.小刚正确
C. 小明、小刚都正确 D. 小明、小刚都不正确
(2)小明同学在计算时用到了公式
①
(a≥0,b≥0);②
(a≥0)
小刚同学在计算时运用了公式
①
(a≥0,b≥0); ②
(a≥0)
练习册系列答案
相关题目
题目内容
阅读题目:计算
,
小明同学是这样计算的
=![]()
小刚同学是这样计算的
=![]()
问题填空:
(1)两位同学做法正确的是( )
A. 小明正确 B.小刚正确
C. 小明、小刚都正确 D. 小明、小刚都不正确
(2)小明同学在计算时用到了公式
①
(a≥0,b≥0);②
(a≥0)
小刚同学在计算时运用了公式
①
(a≥0,b≥0); ②
(a≥0)