下列图案中,不能用折叠剪纸方法得到的是( )

A. B. C. D.

C 【解析】根据轴对称图形的定义即可解答. 【解析】 由给出的图案,结合轴对称的性质,可知C是旋转一定的角度后与原来的图案对称的,不是一个轴对称图形,故选C.

如图:在4×4的正方形(每个小正方形的边长均为1)网格中,以A为顶点,其他三个顶点都在格点(网格的交点)上,且面积为2的平行四边形的共有(  )个.

A. 10 B. 12 C. 14 D. 23

D 【解析】【解析】 一顶点在BC上,两顶点在MG上的有四边形AGIB、AOQB、AMIF、AQFO、ABMI、AFGI共6个; 一顶点在BC上,两顶点在PH上的有四边形AHVC、AVNC、APZE、AZNE、AEVN、ACZN共6个; 还有四边形AQNO、AIYL、ATXI、AHLI、APTI、AGHI、AMPI、AZRN、AVR′N、AOKN、AQSN,共11个; ...

现有同一品牌工艺品100件,其中有2件次品,从中任取一件,(  )是次品.

A. 一定 B. 不大可能

C. 很可能 D. 不可能

B 【解析】由于次品在总数中所占的数目较少,所以抽取一次,抽到次品的可能性较小. 故选B.

下列事件:①在足球赛中,弱队战胜强队;②抛掷一枚硬币,落地后正面朝上;③任取两个正整数,其和大于1;④长度分别为3 cm,5 cm,9 cm的三条线段能围成一个三角形.其中随机事件的个数是(  )

A. 1 B. 2 C. 3 D. 4

B 【解析】①.在足球赛中,弱队可能战胜强队也可能输给强队,弱队战胜强队是随机事件。故①项符合题意。 ②.抛掷1枚硬币,硬币落地时可能正面朝上也可能反面朝上,硬币落地时正面朝上是随机事件。故②项符合题意。 ③.任取两个正整数,其和大于等于2,即大于1,是必然事件。故③项不符合题意。 ④.由三角形的性质可知,两边之和大于第三边,3 cm+5cm<9cm,所以这三条线段不能围成...

分式有意义的条件是____________

x可以取全体实数 【解析】试题解析::因为恒大于0,所以x可以取全体实数. 故答案为:x可以取全体实数.

分式的值为零的条件是____________

【解析】试题解析::因为分式的值为0的时候,只能是分子为0,分母不能为0,所以可以得到, ;可以得到且 故答案为: .

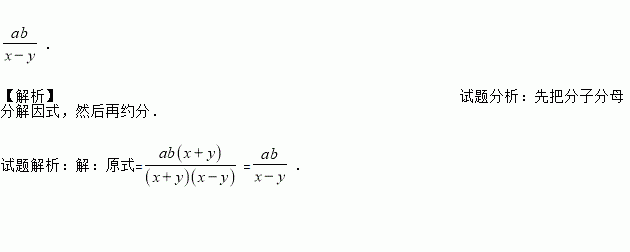
计算

【解析】试题分析:先找出最简公分母,然后把各分式通分,然后按照分母不变,分子相加减的方法进行计算,最后把分子合并同类项,最后结果化成最简. 试题解析: 【解析】 原式= = =.

在不等式的变形过程中:①去分母,得5(2+x)>3(2x-1);②去括号,得10+5x>6x-3;③移项得5x-6x>-3-10;④系数化为1,得x>13.其中错误的步骤是( )

A. ① B. ②

C. ③ D. ④

D 【解析】>的变形过程中:①去分母,得5(2+x)>3(2x-1);②去括号,得10+5x>6x-3;③移项得5x-6x>-3-10;④系数化为1,得x<13.故错误的步骤是④.故选D.

违法和不良信息举报电话:027-86699610 举报邮箱:58377363@163.com

精英家教网