题目内容
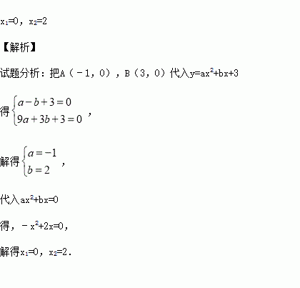
如图,二次函数y=ax2+bx+3的图象经过点A(﹣1,0),B(3,0),那么一元二次方程ax2+bx=0的根是 .
一个不透明的袋子中装有大小、质地完全相同的4只小球,小球上分别标有1、2、3、4四个数字
(1)从袋中随机摸出一只小球,求小球上所标数字为奇数的概率;
(2)从袋中随机摸出一只小球,再从剩下的小球中随机摸出一只小球,求两次摸出的小球上所标数字之和为5的概率.
已知二次函数y=ax2+bx+c的图象如图所示,则下列结论中,正确的是( )
A. ab>0,c>0 B. ab>0,c<0 C. ab<0,c>0 D. ab<0,c<0
下面四个图形分别是节能、节水、低碳和绿色食品标志,是轴对称图形的是( )
A. B. C. D.
已知:m2+2m-3=0.
求证:关于x的方程x2-2mx-2m=0有两个不相等的实数根.
某工厂一种产品的年产量是20件,如果每一年都比上一年的产品增加x倍,两年后产品年产量y与x的函数关系是( )
A. y=20(1﹣x)2 B. y=20+2x C. y=20(1+x)2 D. y=20+20x2+20x
若关于x的一元二次方程的两个根为x1=1,x2=2,则这个方程是( )
A. x2+3x-2=0 B. x2-3x+2=0 C. x2-2x+3=0 D. x2+3x+2=0
下列说法正确的是( )
A. a的平方根是± B. a的立方根是 C. 的平方根是0.1 D. =-3
一个正多边形的一个外角等于它的一个内角的,这个正多边形是几边形?