搜索
题目内容
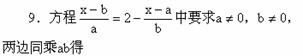
若方程
有唯一解,则a与b应满足的条件是____________.
试题答案
相关练习册答案
bx-b
2
=2ab-ax+a
2
,整理后,得(b+a)x=a
2
+2ab+b
2
因方程有唯一解,故a+b≠0
练习册系列答案
翻转课堂课堂10分钟系列答案
学习与评价江苏凤凰教育出版社系列答案
全优课程达标系列答案
创新大课堂高中新课标同步学案系列答案
学业测评一课一测系列答案
38分钟课时作业本系列答案
40分钟课时练单元综合检测卷系列答案
新教材新学案系列答案
金版课堂名师导学案系列答案
一线调研单元评估卷今年新试卷系列答案
相关题目
若方程
x-b
a
=2-
x-a
b
有唯一解,则a与b应满足的条件是
.
若关于x的方程a(x-1)=b(x-1)有唯一解,则( )
A.a=b
B.a=b=1
C.a≠b
D.a≠0,b≠0
若关于x的方程(a+3b)x
2
+ax+b=0有唯一解,则x=
.
若方程
有唯一解,则a与b应满足的条件是________.
关 闭
试题分类
高中
数学
英语
物理
化学
生物
地理
初中
数学
英语
物理
化学
生物
地理
小学
数学
英语
其他
阅读理解答案
已回答习题
未回答习题
题目汇总
试卷汇总
练习册解析答案