题目内容

已知双曲线上一点M(1,m)和双曲线上一点N(n,3).

(1)求m、n的值;

(2)求△OMN的面积.

 

【答案】

m=2,n=-2;面积为3.5.

【解析】

试题分析:(1)将M(1,m)代入,即可求出m的值;将N(n,3)代入,即可求出n的值;

(2)△OMN的面积=正方形ABCN的面积-△OAN的面积-△OBM的面积-△CMN的面积.

试题解析:

解:(1)∵双曲线过点M(1,m),双曲线过点N(n,3),

∴1•m=2,3n=-6,

∴m=2,n=-2;

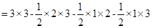
(2)如图.∵M(1,2),N(-2,3),

∴△OMN的面积=正方形ABCN的面积-△OAN的面积-△OBM的面积-△CMN的面积

=9-3-1-1.5

=3.5

考点:反比例函数系数k的几何意义;反比例函数图象上点的坐标特征.

 

练习册系列答案
相关题目

违法和不良信息举报电话:027-86699610 举报邮箱:58377363@163.com

精英家教网